This market will resolve to "Yes" if ChatGPT reaches 1 billion monthly active users (MAUs) during by December 31, 2025, 11:59 PMET. Otherwise, this market will resolve to "No."
The primary resolution source will be official information from OpenAI, however a consensus of reputable sources including, major analytics firms (e.g. Similarweb, Sensor Tower), investor or regulatory disclosures, or reputable media may also be used.
Update 2025-12-18 (PST) (AI summary of creator comment): The creator clarified that robots do not count towards the total; users should ideally be human.
Update 2025-12-20 (PST) (AI summary of creator comment): The creator indicated that 900 million weekly active users would be considered strong evidence for 1 billion monthly active users for resolution purposes.
Updates 2025-12-22 (PST):
(AI summary of creator comment): The creator's main concern is verifying the reliability of the WAU statistics being reported and if the 900 WAU figure may include API users inflating the number rather than being purely human users.
(AI summary of creator comment): The creator clarified that if ChatGPT actually has 900 million weekly active human users, the burden of proof would be on showing it is NOT 1 billion MAU, since mainstream apps typically have 70-90% MAU stickiness (ratio of MAU to WAU). However, the creator did not state the market would resolve YES by default based on 900 WAU alone.
(AI summary of creator comment): The creator clarified that the default assumption is NOT that all users are human. The burden of proof is on the YES camp to demonstrate that the users are human, rather than assuming WAU statistics represent human users by default. (Edit: but not sure how much to discount the WAU by if indeed there is ambiguity)
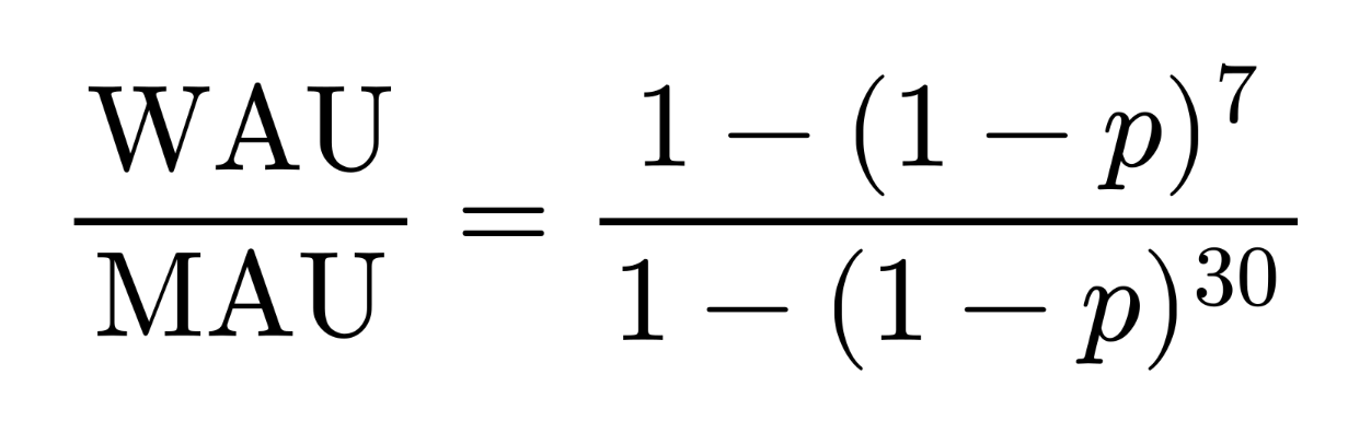
@Dulaman correct me if I'm wrong, but doesn't your analysis assume that each user uses the site with an equal frequency? Like imagine we had three types of users: casual, moderate and hardcore. Hardcore users use ChatGPT every day, moderate users use it once per week on a random day, and casual users use it once per month on a random day. Of the 36% figure, if the split is (for example)
20% hardcore
15% moderate
1% casual
(the real composition would probably be based on a binomial distribution)
Then the ratio of hardcore : moderate : casual would be 20 : 60 : 30. The WAU:MAU ratio would then be (20 + 60 + .25*30)/110 =~ 80%.
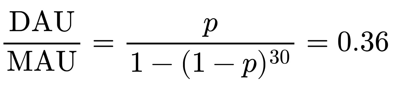
@ItsMe I think there's different ways of writing this. Some of them average out to a model like DAU = N * p, and some do not
@ItsMe like if each user has a different p value, and this is written as a random variable P over the set of users, then the model averages out to DAU = N * mean(P)
More of a fun fact than an argument for resolution: Duolingo has 47m DAUs and 130m MAUs. That is a very low correlation, especially for an app that so heavily encourages streaks. I wish they reported weekly active users too.
(https://investors.duolingo.com/news-releases/news-release-details/duolingo-surpasses-50-million-daily-active-users-grows-dau-36)
(https://intelpoint.co/insights/in-four-years-duolingos-daily-active-users-nearly-quadrupled-monthly-active-users-doubled-and-paid-subscribers-increased-tenfold/)
@Dulaman it is a similar retention to that of ChatGPT
> After becoming the fastest product to ever hit 100M WAUs (in 2023), ChatGPT has sustained massive consumer adoption with an estimated 800 – 900M WAUs across platforms. Gemini is at 34% of ChatGPT’s scale on web, and 40% on mobile. ChatGPT is also dominant when it comes to engagement and retention. Per Yipit, ChatGPT’s DAU/MAU of 36% is nearly double Gemini’s 21%. And, month 12 desktop user retention of 50% is similarly double Gemini’s 25%.
(https://a16z.com/state-of-consumer-ai-2025-product-hits-misses-and-whats-next/)
That DAU/MAU number (when plugged into the maths) is a significant update to my mental model of what chatgpt's user behavior stats are like






